MENU
当前位置: 首页» 科学研究» 科研动态

果树所专家在梨果实挥发性组分研究方面取得新进展

 

近日,中国农业科学院果树研究所梨资源课题组在中科院1区TOP期刊《Food  Chemistry:X》(JCR1区,IF=8.2)在线发表了题为“Cultivar-dependent  interplay  between  volatile  biosynthesis and  texture deterioration  in  pear  during  cold  storage  and  shelf-life”的研究论文。该研究首次开展了梨果肉质地和果实香气动态变化分析,揭示了不同冷藏期和不同货架期梨果挥发性物质含量(VOCs)和果肉质地变化的关系,为梨品种果实的贮藏期判断和香气评价提供理论参考。

图片1.png

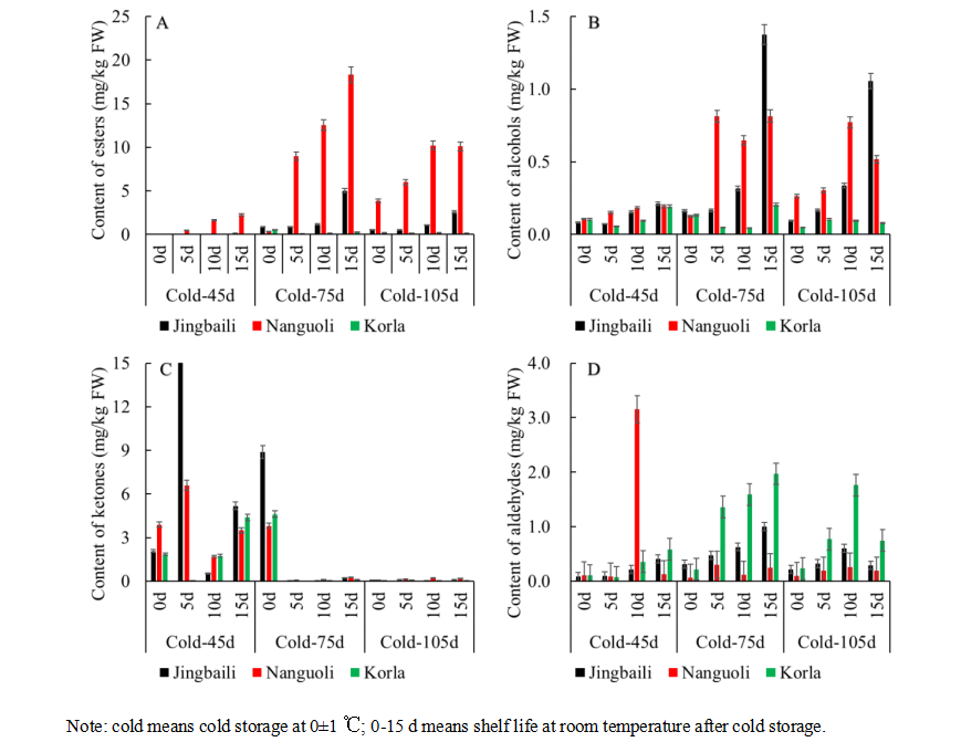
梨果实香气品质主要由挥发性有机化合物决定,而软肉梨和脆肉梨果实香气往往受果肉质地变化的影响,挥发性化合物释放又受到采后储存条件的影响。基于气相色谱-质谱(GC-MS)对冷藏后梨果实挥发性物质进行动态测定,通过对比软肉梨和脆肉梨在不同冷藏期后和不同货架期后的果肉质地、挥发性物质和可溶性固形物含量(SSC)的动态变化,发现了软肉梨和脆肉梨显著的差异变化规律。

图片2.png

在梨果实冷藏过程中,挥发性有机化合物的谱系和质地变化具有品种依赖性。本研究共鉴定出301种VOCs,其中不同酯类物质在冷藏75天后显著增加(26至114倍),尤其是在软肉品种中增加更显著。软肉梨含有更多的酯类物质,而脆肉梨则保持了其脆度;多元分析显示,酯类积累与质地完整性之间存在强烈的负相关(r < -0.8),这凸显了果肉组织软化和香气发展之间的基本权衡。通过OPLS-DA模型,区分了85种关键VOCs对梨果不同质地类型的影响,揭示这些VOCs可能有助于阐明梨果质地恶化的机制,并为未来研究果实采后品质保持策略提供理论依据。

图片3.png

果树所高贯威博士为论文第一作者,田路明研究员为论文通讯作者。该研究获得中国农业科学院科技创新工程(CAAS-ASTIP-RIP)、国家科技资源共享服务平台项目(NHGRC2023-NH02-1)和国家现代农业产业技术体系(CARS-28-01)等项目的资助。

 

相关文章

TOP